Various tricks

On this page, we list several tricks on how to do this or that, related to particular aspects of the modelling based on systems of partial differential equations.

Spatially varying parameters

It is possible in LayerCake to add parameters varying as a function of the coordinates. To illustrate this, we are going to modify a spatially uniform parameter in one of the examples, namely the Reinhold & Pierrehumber model one.

In this model, two terms are representing the friction of the bottom layer with the ground:

  • \(-\frac{k_d}{2} \nabla^2 (\psi - \theta)\) for the equation involving the barotropic streamfunction \(\psi\)

  • \(+\frac{k_d}{2} \nabla^2 (\psi - \theta)\) for the equation involving the baroclinic streamfunction \(\theta\)

where the parameter controlling the friction is \(k_d\). The full equations of the model can be found here.

Running the LayerCake code produces the following figure:

../_images/RP1982.png

which is a section of the model’s attractor in the \(\psi_2, \psi_3\) plane.

Now we can modify the original model’s equations by making the parameter \(k_d\) varies as

\[k_{d,0} + 2 \, k_{d,2} \cos(n x) \sin(y)\]

This can be done by using the ProductOfTerms objects to do the product of a LinearTerm term involving a ParameterField field representing the spatial variation of the parameter, and the Laplacian terms representing \(\nabla^2 (\psi - \theta)\). It can be implemented with a few lines added to the Reinhold & Pierrehumber model code:

dfriction = ProductOfTerms(LinearTerm(Dk), OperatorTerm(psi, Laplacian, atmospheric_basis.coordinate_system, sign=-1))
dofriction = ProductOfTerms(LinearTerm(Dk), OperatorTerm(theta, Laplacian, atmospheric_basis.coordinate_system))
barotropic_equation.add_rhs_terms([dfriction, dofriction])

in the barotropic equation and

dfriction = ProductOfTerms(LinearTerm(Dk), OperatorTerm(psi, Laplacian, atmospheric_basis.coordinate_system, sign=1))
dofriction = ProductOfTerms(LinearTerm(Dk), OperatorTerm(theta, Laplacian, atmospheric_basis.coordinate_system, sign=-1))
baroclinic_equation.add_rhs_terms([dfriction, dofriction])

in the baroclinic equation, where Dk is the ParameterField object defining the spatial variation of \(k_d\)

# Variable bottom friction
dk = np.zeros(len(atmospheric_basis))
dk[1] = 0.1 * kdp_deriv
Dk = ParameterField('D_k', u'D_k', dk, atmospheric_basis, inner_products_definition)

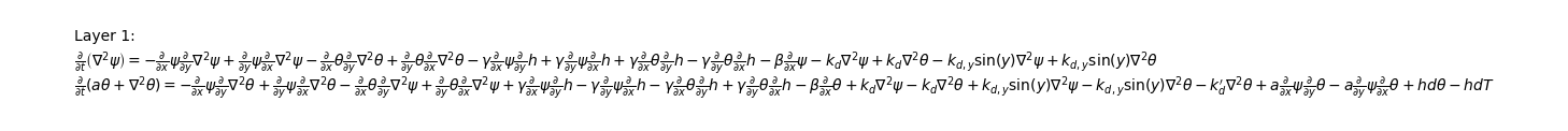
with \(k_{d,2} = D_{k,1} = 0.1 \, k_d\) (note the difference of index because of the Python-specific indexing starting from zero). The equations LaTeX representation now clearly shows the new terms:

../_images/mod_eqs.png

with the appearance of the \(D_k \nabla^2\) terms.

The impact of this spatial variation of the bottom friction coefficient on the model’s dynamics is clearly visible on the 2-dimensional section of the attractor:

../_images/RP1982mod.png

(Compare with the first figure above.)

Usage of mathematical expressions in the PDEs

Mathematical function can appear in some models PDEs. In general, these are functions of the model’s domain coordinates. Modelling terms involving mathematical functions (of the coordinates) can be implemented in LayerCake using the Expression class. In this section, we recycle the example of the previous one by modifying again the friction with the bottom layer in the Reinhold & Pierrehumber model:

\[k_{d} \to k_{d} + F(y) = k_d + k_{d,y} \, \sin(y)\]

which means that the friction is higher in the higher latitude.

To implement this, we simply need to create an Expression object to represent \(F(y)\) as follow:

# Variable bottom friction
from sympy import sin
kd_deriv_y = Parameter(0.1 * kd_deriv, symbol=Symbol('k_dy'), latex='k_{d,y}')
F = Expression(kd_deriv_y.symbol * sin(y), expression_parameters=[kd_deriv_y,], latex=r'k_{d,y} \sin(y)')

where we set \(k_{d,y} = 0.1 \, k_d\). Then the variable friction with the bottom can be added like in the previous section, involving the expression F as prefactor:

dfriction = OperatorTerm(psi, Laplacian, atmospheric_basis.coordinate_system, prefactor=F, sign=-1)
dofriction = OperatorTerm(theta, Laplacian, atmospheric_basis.coordinate_system, prefactor=F)
barotropic_equation.add_rhs_terms([dfriction, dofriction])

dfriction = OperatorTerm(psi, Laplacian, atmospheric_basis.coordinate_system, prefactor=F, sign=1)
dofriction = OperatorTerm(theta, Laplacian, atmospheric_basis.coordinate_system, prefactor=F, sign=-1)
baroclinic_equation.add_rhs_terms([dfriction, dofriction])

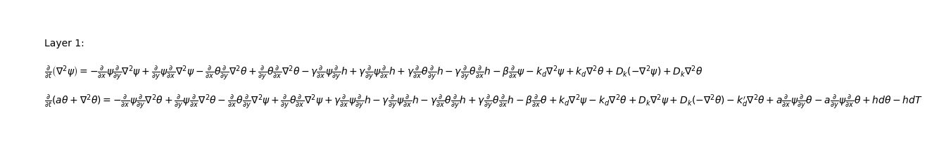
and this result in the following equations in LayeCake:

../_images/mod_eqs_siny.png

where the terms involving \(\sin(y)\) are appearing.

Constructing this model and then integrating it then yield:

../_images/RP1982mod_siny.png

(Again, you can compare with the first figure above.)

Free-threading

Since Python 3.14, a free-threaded version of Python is available. LayerCake has been tested for it and seems so far to run smoothly.

This feature is particularly useful if you try to derive complicate, big models with a large number of modes. LayerCake will then use multiple threads to perform Sympy symbolic evaluations, while the integration of the inner products will still be done using multiple processes. When being used in a free-threading environment, this is the default behavior, but this can be controlled by environment variables:

  • The LAYERCAKE_PARALLEL_METHOD environment variable defines how the Sympy symbolic evaluations are done. It can take two different values:
    • threads: the evaluations will be done using threads

    • processes: the evaluations will be done using processes. In some complicate cases, it might lead to wrong answers or even crash. This mode is thus not recommended unless you know what you are doing.

    If this environment variable is not defined, then LayerCake default behavior is to use threads.

  • The LAYERCAKE_PARALLEL_INTEGRATION environment variable controls the Sympy symbolic integration parallelization. If set to none, the parallelization will be deactivated. Otherwise, it will parallelized using processes. If this environment variable is not defined, then LayerCake default behavior is to parallelize using processes.

For example,

LAYERCAKE_PARALLEL_METHOD=processes python examples/atmospheric/barotropic_one_layer.py

will launch the barotropic one layer script with Sympy symbolic evaluation being done using processes.

Warning

Launching the previous line with symbolic evaluation being done in processes with a free-threaded Python will result in a crash. Use the free-threaded Python only if LAYERCAKE_PARALLEL_METHOD is set to threads.

Installing the free-threaded version of Python can be done using Anaconda, by typing:

conda env create -f environment_freethreading.yml

which will create a conda environment layercake_ft. Upon activation:

conda activate layercake_ft

any Python code will be run in free-threading mode.

Warning

Python free-threading mode is still somewhat experimental, and the obtained models and results must be scrutinized with care and double-checked.